bm25算法與tf-idf算法比較
一、tf-idf算法介紹
詞頻(TF)=某篇文章中某個關鍵詞出現的次數/文章總字數,逆文檔頻率(IDF) = log(語料庫文章總數/包含該關鍵詞的文章總數+1),tfidf=tf*idf,下面給大家舉個實例,你大概就明白了,例如語料庫中有以下三篇文章:
第一篇:張一山與楊紫疑似相戀;
第二篇:C羅又一次完成了帽子戲法,這就是足球的魅力;
第三篇:恭喜TES創歷史記錄,在s10的世界總決賽上完成了讓二追三;
首先是對每篇文章進行分詞且過濾停用詞得doc_lis=[[張一山,…,相戀],[C羅,…,魅力],[恭喜,…,讓二追三]],然后依次計算每個關鍵詞的tfidf。TF(張一山)=1/4(“與”作為停用詞過濾掉了所以是4) IDF(張一山)=log(3/1+1),所以tfidf=TF*IDF=1/4*log3/2=0.25*0.405=0.1,按照這個方式依次計算就能得到所有詞的tfidf,最終的結果如下表:
| 文章\詞 | 張一山 | 楊紫 | … | 完成 | 讓二追三 |
| 第一篇 | 0.1 | 0.1 | 0 | 0 | |
| 第二篇 | 0 | 0 | 0 | 0 | |
| 第三篇 | 0 | 0 | tfidf值 | tfidf值 |
這張表的shape應該(總詞數,總文章數),因此tfidf的應用可以有:
1、文章關鍵詞提取(可以提取tfidf值前幾個作為關鍵詞);
2、文章分類,這個矩陣直接輸入到項lsvm,lr等模型(當然要打好label);
3、用LDA或SVD進行降維(為什么要降維,因為語料庫的總詞數是非常多的,所以每篇文章的向量是非常稀疏的),再當做文章的embeding;
4、把tfidf或idf值當做每個詞的權重。
tfidf算法的優點:
簡單,快速,如果語料庫是不變的話,可以提前離線計算好語料庫中所有詞的tfidf值(這在實際應用中非常重要的,后面有這個應用的舉例)
tfidf算法的缺點:
1、僅以“詞頻”度量詞的重要性,后續構成文檔的特征值序列,詞之間各自獨立,無法反映序列信息;
2、tfidf得到是一個稀疏而龐大的矩陣,需要采用降維方式,才方便做后續的文本任務,而降維可能會損失一些信息,同時降維的也會提高模型的復雜度,而失去了原本快速的優點;
3、tfidf得到的embedings再輸入后續的模型,做文本分類、文本匹配等任務,在效果上通常會差于采用詞向量模型訓練得到的embedding。
二、BM25算法介紹
bm25是一種用來評價搜索詞和文檔之間相關性的算法,它是一種基于概率檢索模型提出的算法,再用簡單的話來描述下bm25算法:我們有一個query和一批文檔Ds,現在要計算query和每篇文檔D之間的相關性分數,我們的做法是,先對query進行切分,得到單詞$q_i$,然后單詞的分數由3部分組成:
1、單詞$q_i$和D之間的相關性
2、單詞$q_i$和D之間的相關性
3、每個單詞的權重
最后對于每個單詞的分數我們做一個求和,就得到了query和文檔之間的分數。
bm25算法解釋
講bm25之前,我們要先介紹一些概念。
二值獨立模型 BIM
BIM(binary independence model)是為了對文檔和query相關性評價而提出的算法,BIM為了計算$P(R|d,q)$,引入了兩個基本假設:
假設1
一篇文章在由特征表示的時候,只考慮詞出現或者不出現,具體來說就是文檔d在表示為向量$\vec x=(x_1,x_2,…,x_n)$,其中當詞$t$出現在文檔d時,$x_t=1$,否在$x_t=0$。
假設2
文檔中詞的出現與否是彼此獨立的,數學上描述就是$P(D)=\sum_{i=0}^n P(x_i)$
有了這兩個假設,我們來對文檔和query相關性建模:

其中

分別表示當返回一篇相關或不相關文檔時文檔表示為x的概率。
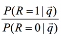
接著因為我們最終得到的是一個排序,所以,我們通過計算文檔和query相關和不相關的比率,也可得文檔的排序,有下面的公式:

其中

是常數,我們可以不考慮,再根據之前的假設2:一個詞的出現 與否與任意一個其他詞的出現與否是互相獨立的,我們可以化簡上面的式子:

我們接著引入一些記號:

詞出現在相關文檔的概率

詞出現在不相關文檔的概率

于是我們就可得到:


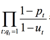
我們接著做下面的等價變換:


此時,公式中
根據出現在文檔中的詞計算,

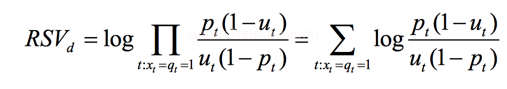
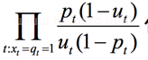
則是所有詞做計算,不需要考慮,此時我們定義RSV (retrieval status value),檢索狀態值:

定義單個詞的ct

下一步我們要解決的就是怎么去估計pt和ut,看下表:

其中dft是包含詞t的文檔總數,于是

此時詞t的ct值是:

為了做平滑處理,我們都加上1/2,得到:

在實際中,我們很難知道t的相關文檔有多少,所以假設S=s=0,所以:

其中N是總的文檔數,dft是包含t的文檔數。
以上就是BIM的主要思想,后來人們發現應該講BIM中沒有考慮到的詞頻和文檔長度等因素都考慮進來,就有了后面的BM25算法,下面按照
1、單詞t和D之間的相關性
2、單詞t和D之間的相關性
3、每個單詞的權重
3個部分來介紹bm25算法。
單詞權重
單詞的權重最簡單的就是用idf值,即

,也就是有多少文檔包含某個單詞信息進行變換。如果在這里使用 IDF 的話,那么整個 BM25 就可以看作是一個某種意義下的 TF-IDF,只不過 TF 的部分是一個復雜的基于文檔和查詢關鍵字、有兩個部分的詞頻函數,還有一個就是用上面得到的ct值。
單詞和文檔的相關性
tf-idf中,這個信息直接就用“詞頻”,如果出現的次數比較多,一般就認為更相關。但是BM25洞察到:詞頻和相關性之間的關系是非線性的,具體來說,每一個詞對于文檔相關性的分數不會超過一個特定的閾值,當詞出現的次數達到一個閾值后,其影響不再線性增長,而這個閾值會跟文檔本身有關。
在具體操作上,我們對于詞頻做了”標準化處理“,具體公式如下:

其中,tftd 是詞項 t 在文檔 d 中的權重,Ld 和 Lave 分別是文檔 d 的長度及整個文檔集中文檔的平均長度。k1是一個取正值的調優參數,用于對文檔中的詞項頻率進行縮放控制。如果 k 1 取 0,則相當于不考慮詞頻,如果 k 1取較大的值,那么對應于使用原始詞項頻率。b 是另外一個調節參數 (0≤ b≤ 1),決定文檔長度的縮放程度:b = 1 表示基于文檔長度對詞項權重進行完全的縮放,b = 0 表示歸一化時不考慮文檔長度因素。
單詞和查詢的相關性
如果查詢很長,那么對于查詢詞項也可以采用類似的權重計算方法。

其中,tftq是詞項t在查詢q中的權重。這里k3 是另一個取正值的調優參數,用于對查詢中的詞項tq 頻率進行縮放控制。
于是最后的公式是:

bm25算法gensim中的實現
gensim在實現bm25的時候idf值是通過BIM公式計算得到的:

然后也沒有考慮單詞和query的相關性。

其中幾個關鍵參數取值:
PARAM_K1 = 1.5
PARAM_B = 0.75
EPSILON = 0.25
此處EPSILON是用來表示出現負值的時候怎么獲取idf值的。
bm25的算法的優點:
優點:可以方便線下做離線先計算好文檔中出現的每一個詞的idf并保存為一個字典,當用戶搜了一個query,直接分詞然后查字典就能得到這個詞的idf,如果字典中沒有idf值無意義,因為R=0。同于tfidf。
缺點:同于tfidf
總結下本文的內容:BM25是檢索領域里最基本的一個技術,BM25 由三個核心的概念組成,包括詞在文檔中相關度、詞在查詢關鍵字中的相關度以及詞的權重。BM25里的一些參數是經驗總結得到的,后面我會繼續介紹BM25的變種以及和其他文檔信息(非文字)結合起來的應用。
bm25算法適用于什么情況
BM25算法,通常用來作搜索相關性平分。一句話概況其主要思想:對Query進行語素解析,生成語素qi;然后,對于每個搜索結果D,計算每個語素qi與D的相關性得分,最后,將qi相對于D的相關性得分進行加權求和,從而得到Query與D的相關性得分。
BM25算法的一般性公式如下:

其中,Q表示Query,qi表示Q解析之后的一個語素(對中文而言,我們可以把對Query的分詞作為語素分析,每個詞看成語素qi。);d表示一個搜索結果文檔;Wi表示語素qi的權重;R(qi,d)表示語素qi與文檔d的相關性得分。
下面我們來看如何定義Wi。判斷一個詞與一個文檔的相關性的權重,方法有多種,較常用的是IDF。這里以IDF為例,公式如下:

其中,N為索引中的全部文檔數,n(qi)為包含了qi的文檔數。
根據IDF的定義可以看出,對于給定的文檔集合,包含了qi的文檔數越多,qi的權重則越低。也就是說,當很多文檔都包含了qi時,qi的區分度就不高,因此使用qi來判斷相關性時的重要度就較低。
我們再來看語素qi與文檔d的相關性得分R(qi,d)。首先來看BM25中相關性得分的一般形式:

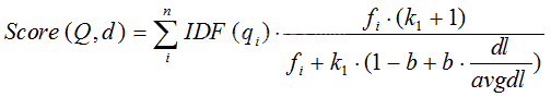
其中,k1,k2,b為調節因子,通常根據經驗設置,一般k1=2,b=0.75;fi為qi在d中的出現頻率,qfi為qi在Query中的出現頻率。dl為文檔d的長度,avgdl為所有文檔的平均長度。由于絕大部分情況下,qi在Query中只會出現一次,即qfi=1,因此公式可以簡化為:

從K的定義中可以看到,參數b的作用是調整文檔長度對相關性影響的大小。b越大,文檔長度的對相關性得分的影響越大,反之越小。而文檔的相對長度越長,K值將越大,則相關性得分會越小。這可以理解為,當文檔較長時,包含qi的機會越大,因此,同等fi的情況下,長文檔與qi的相關性應該比短文檔與qi的相關性弱。
綜上,BM25算法的相關性得分公式可總結為:

從BM25的公式可以看到,通過使用不同的語素分析方法、語素權重判定方法,以及語素與文檔的相關性判定方法,我們可以衍生出不同的搜索相關性得分計算方法,這就為我們設計算法提供了較大的靈活性。
